Trang thông tin tổng hợp
Trang thông tin tổng hợp
  • Ẩm Thực
  • Công Nghệ
  • Kinh Nghiệm Sống
  • Du Lịch
  • Hình Ảnh Đẹp
  • Làm Đẹp
  • Phòng Thủy
  • Xe Đẹp
  • Du Học
Ẩm Thực Công Nghệ Kinh Nghiệm Sống Du Lịch Hình Ảnh Đẹp Làm Đẹp Phòng Thủy Xe Đẹp Du Học

thể thao

Giải SBT toán 8 tập 2 kết nối bài 36 Các trường hợp đồng dạng của hai tam giác vuông

Giải SBT toán 8 tập 2 kết nối bài 36 Các trường hợp đồng dạng của hai tam giác vuông

10:20 06/08/2025

Bài tập 9.42 toán 8 tập 2 KNTT trang 62: (1) Một góc nhọn của tam giác này bằng một góc nhọn của tam giác kia.(2) Một cạnh góc vuông của tam giác này bằng một cạnh góc vuông của...

Dạng bài tập liên quan tới kính lúp và cách giải hay, chi tiết

Dạng bài tập liên quan tới kính lúp và cách giải hay, chi tiết

08:34 06/08/2025

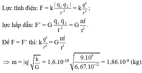
Cách giải bài tập Lực tương tác giữa hai điện tích điểm hay, chi tiết. Bài tập

Cách giải bài tập Lực tương tác giữa hai điện tích điểm hay, chi tiết. Bài tập

04:40 06/08/2025

Quy Trình Trồng Rừng Bằng Cây Con Có Bầu Với 6 Bước

Quy Trình Trồng Rừng Bằng Cây Con Có Bầu Với 6 Bước

Trồng rừng bằng cây con có bầu là phương pháp phổ biến và hiệu quả, giúp cây con có tỷ lệ sống cao và phát triển tốt hơn. Quy trình trồng rừng bằng cây con có bầu bao gồm 6...

04:01 06/08/2025

Bắc Ninh dẫn đầu cả nước về sản xuất công nghiệp

Bắc Ninh dẫn đầu cả nước về sản xuất công nghiệp

Từ một tỉnh nông nghiệp thuần túy, cơ sở hạ tầng khó khăn, Bắc Ninh đã cơ bản trở thành tỉnh công ghiệp theo hướng hiện đại. Kinh tế của tỉnh liên tục tăng trưởng cao (bình quân giai đoạn...

03:57 06/08/2025

The Pietist Schoolman

The Pietist Schoolman

I like comedian John Mulaney a lot. Which must be welcome news to comedian John Mulaney, since he claims to need “everybody, all day long, to like me so much” in his popular Netflix special, Kid Gorgeous at Radio City....

01:54 06/08/2025

Đề ôn thi Vioedu lớp 6 cấp Tỉnh năm 2024 – 2025

Đề ôn thi Vioedu lớp 6 cấp Tỉnh năm 2024 – 2025

Đề ôn thi Vioedu lớp 6 cấp Tỉnh năm 2024 - 2025 có đáp án đúng. Đăng ký bộ tài liệu ôn thi Đấu trường Vioedu lớp 6 năm 2024 - 2025 vui lòng liên hệ: Tel - Zalo:...

22:20 05/08/2025

16 phrasal verb pull – cụm động từ với pull: Cách dùng & Bài tập

16 phrasal verb pull – cụm động từ với pull: Cách dùng & Bài tập

“PULL” là một động từ có tần suất xuất hiện nhiều trong tiếng Anh và cũng có cách dùng đa dạng. IZONE sẽ cùng bạn tìm hiểu về Pull và Phrasal Verb Pull phổ biến cùng bài tập luyện tập...

22:16 05/08/2025

Toán 10 Bài 6: Hệ thức lượng trong tam giác                               Giải SGK Toán 10 trang 42 - Tập 1 sách Kết nối tri thức với cuộc sống

Toán 10 Bài 6: Hệ thức lượng trong tam giác Giải SGK Toán 10 trang 42 - Tập 1 sách Kết nối tri thức với cuộc sống

Toán 10 trang 42 Kết nối tri thức - Tập 1 giúp các em học sinh có thêm nhiều gợi ý tham khảo để giải các câu hỏi Luyện tập vận dụng và 7 bài tập trong SGK Hệ thức...

19:38 05/08/2025

Oxi hóa là gì? Tác hại, biện pháp chống oxi hóa với cơ thể

Oxi hóa là gì? Tác hại, biện pháp chống oxi hóa với cơ thể

Oxi hóa là gì? Oxi hóa có nguyên nhân do đâu và gây ra tác hại cho cơ thể như thế nào? Biện pháp nào để phòng chống oxi hóa hiệu quả? Cùng tìm hiểu bài viết sau.Oxi hóa là...

19:21 05/08/2025

Tổng quan về hệ tuần hoàn

Tổng quan về hệ tuần hoàn

Hệ tuần hoàn, hay còn được gọi là hệ tim mạch, là một mạng lưới các mạch máu và tim trong cơ thể con người. Nhiệm vụ chính của hệ tuần hoàn là vận chuyển oxy, chất dinh dưỡng đến...

18:38 05/08/2025

Top 5 phần mềm vẽ mạch điện tử tốt nhất hiện nay

Top 5 phần mềm vẽ mạch điện tử tốt nhất hiện nay

Ngày nay, với sự phát triển của khoa học công nghệ kéo theo sự ra đời của nhiều phần mềm vẽ mạch điện tử nhằm đáp ứng được nhu cầu đa dạng của con người. Sự xuất hiện của một...

16:28 05/08/2025

Young women are out-earning young men in several U.S. cities

Young women are out-earning young men in several U.S. cities

(Getty Images) Women in the United States continue to earn less than men, on average. Among full-time, year-round workers in 2019, women’s median annual earnings were 82% those of men. The gender wage gap is narrower among younger workers nationally,...

13:39 05/08/2025

Đưa dữ liệu ra màn hình dùng thủ tục nào? Khám phá ngay!

Đưa dữ liệu ra màn hình dùng thủ tục nào? Khám phá ngay!

Đưa dữ liệu ra màn hình dùng thủ tục nào? Những thông tin dữ liệu thông qua bàn phím hoặc từ đĩa, đồng thời gán các giá trị cho những biến là quá trình đơn giản nhưng quan trọng. Ngược...

11:43 05/08/2025

Đề số 63 - Đề thi thử THPT Quốc gia môn Hóa học

Đề số 63 - Đề thi thử THPT Quốc gia môn Hóa học

Đề bài Cho biết nguyên tử khối của các nguyên tố: H=1; C=12; N=14; O=16; Na=23; Mg=24; Al=27; S=32; Cl=35,5; K=39; Fe=56; Cu=64; Zn=65; Ag=108; Ba=137 Câu 41: Nước cứng là nước có chứa nhiều ion nào dưới đây? A....

09:44 05/08/2025

Tổng hợp công thức tính diện tích hình tròn chi tiết đầy đủ 2023

Tổng hợp công thức tính diện tích hình tròn chi tiết đầy đủ 2023

Hình tròn là một trong những hình học mà chúng ta được tiếp xúc từ sớm và thường xuyên được học trong chương trình môn Toán. Vậy bạn đã biết các công thức tính diện tích hình tròn chuẩn xác...

08:44 05/08/2025

  • ‹
  • 1
  • 2
  • ...
  • 8
  • 9
  • 10
  • ...
  • 274
  • 275
  • ›
  • Điều khoản sử dụng
  • Chính sách bảo mật
  • Cookies
  • RSS
  • Điều khoản sử dụng
  • Chính sách bảo mật
  • Cookies
  • RSS

Trang thông tin tổng hợp studyenglish

Website studyenglish là blog chia sẻ vui về đời sống ở nhiều chủ đề khác nhau giúp cho mọi người dễ dàng cập nhật kiến thức. Đặc biệt có tiêu điểm quan trọng cho các bạn trẻ hiện nay.

© 2025 - studyenglish

Kết nối với studyenglish

vntre
vntre
vntre
vntre
vntre
thời tiết ngày mai nhà cái sunwin
Đăng ký / Đăng nhập
Quên mật khẩu?
Chưa có tài khoản? Đăng ký